Tag: climate change
U.S. cattle faces a growing threat from a protected species of vulture spreading north amid climate change — ‘They just basically eat them alive’ | Fortune
Allan Bryant scans the sky as he watches over a minutes-old calf huddled under a tree line with its mother. After a few failed...
Climate Change Made Hurricane Melissa 4 Times More Likely, Study Suggests
This story originally appeared on Inside Climate News and is part of the Climate Desk collaboration.Fueled by unusually warm waters, Hurricane Melissa this week...
Factcheck: What the Climate Change Act does – and does not – mean for the UK – Carbon Brief
The UK’s Climate Change Act is a landmark...
DeBriefed 3 October 2025: UK political gap on climate widens; Fossil-fuelled Typhoon Ragasa; ‘Overshoot’ unknowns – Carbon Brief
Welcome to Carbon Brief’s DeBriefed. An essential guide to...
The World’s Oceans Are Hurtling Toward Breaking Point
For life on Earth, the oceans are essential. Not only do they supply us with food and resources, they also play a big role...
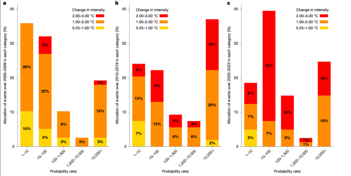
Study links world’s top oil and gas firms to 200 ‘more intense’ heatwaves – Carbon Brief
Global warming linked to the world’s biggest oil...
Frontier buys $31M worth of antacids for the ocean | TechCrunch
Frontier, the carbon removal clearinghouse founded by Google, Strip, Shopify, and others, announced today that it is buying 115,208 metric tons of carbon removal...
‘Like the corn’s never getting a break. It’s just hot all the time’: How America’s farmers conquered climate change for a ‘monster’ harvest
Robb Rynd and his brother grew up farming and wanted to do more of it outside their day jobs, so they went in together...
It’s so hot in the western U.S. that some people are ‘wobbling’ and collapsing to the ground as they walk outside
Residents of the Western U.S. sweltered in a heat wave Saturday that hospitalized some people, with temperatures forecast to hit dangerous levels throughout the weekend in...
Climate Change Is Bringing Legionnaire’s Disease to a Town Near You
This story originally appeared on Vox and is part of the Climate Desk collaboration.Air conditioners have been working overtime this hot summer, from those...











